반응형
-문제

1) 1~n까지 정수의 합 : s = n(n+1)/2
n^2 + n - 2s = 0
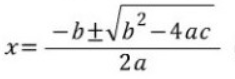
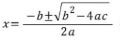
2) 근의 공식

-코드
#include<iostream>
#include<cmath>
using namespace std;
int main()
{
long long int s;
int res;
cin >> s;
res = (-1 + sqrt(1 + 8*s))/2;
cout << res;
return 0;
}반응형
'이론 > 코딩테스트' 카테고리의 다른 글
| [백준] 2309번 일곱 난쟁이 (투포인터 알고리즘) (0) | 2022.08.07 |
|---|---|
| [백준] 1439번 뒤집기 (그리디 알고리즘) (0) | 2022.08.05 |
| [백준] 110447번 동전0 (그리디 알고리즘) (0) | 2022.08.05 |
| [백준] 5585번 거스름돈 (그리디 알고리즘) (0) | 2022.08.04 |
| [백준] 1931번 회의실 배정 (그리디 알고리즘) (0) | 2022.08.04 |